Предмет: Алгебра,
автор: nikita199720
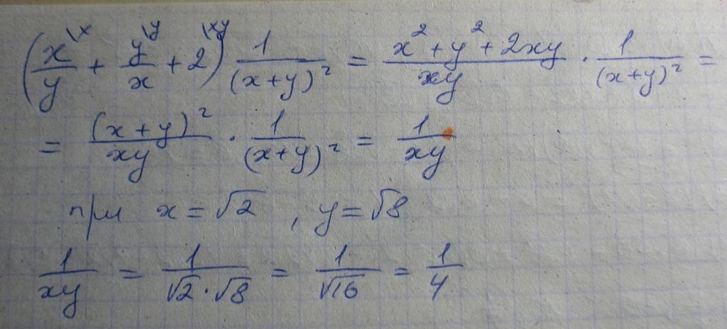
Упростите выражение , найдите его значение при x=√2 у=√8
Ответы
Автор ответа:
0
Решение в прикрепленном файле
Приложения:
Похожие вопросы
Предмет: Английский язык,
автор: serebryanskaya2nasty
Предмет: Другие предметы,
автор: ironwolf2022t
Предмет: География,
автор: efimenkos180
Предмет: Геометрия,
автор: Аноним
Предмет: Математика,
автор: Neitivo