Предмет: Алгебра,
автор: Kirilliva2702kotik
Помогите пожалуйста очень срочно 30 баллов
Приложения:
Ответы
Автор ответа:
0
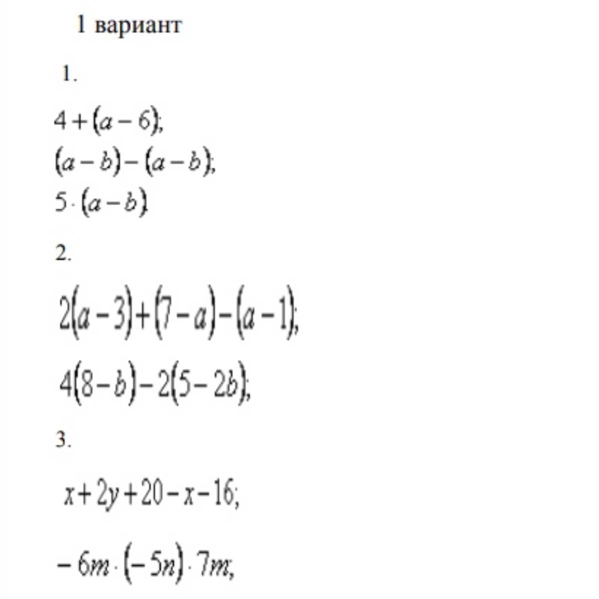
Ответ:
решение на фото..........
Приложения:
Похожие вопросы
Предмет: Русский язык,
автор: arystan2006mail
Предмет: Русский язык,
автор: cocnii
Предмет: Математика,
автор: reginaggg
Предмет: История,
автор: KoroievaKrika
Предмет: Математика,
автор: channelfovkiozf3b5