Предмет: Алгебра,
автор: kfjdfkj
ПОМОГИТЕ,ПОЖАЛУЙСТА (ВОПРОС ЖИЗНИ И СМЕРТИ)
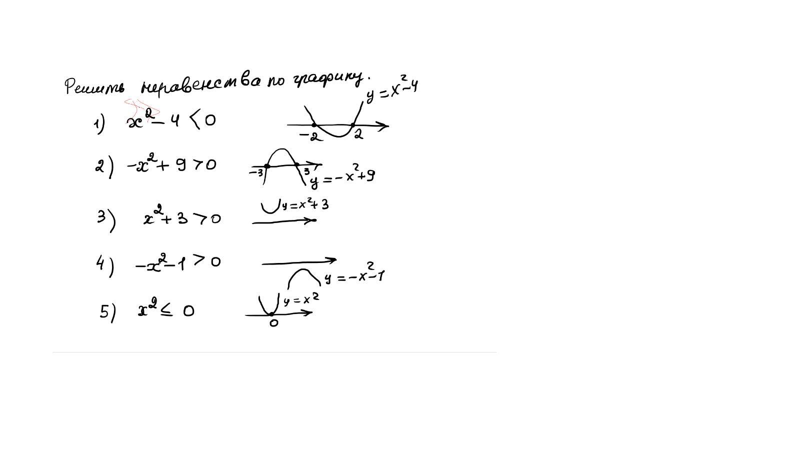
Решить неравенство по графику: (Можете письменно сделать?)
Приложения:
Ответы
Автор ответа:
1
Ответ:
Объяснение:
ну все же нарисовано уже !!! )))
Приложения:
Автор ответа:
1
1) x ∈ (- 2 ; 2)
2) x ∈ ( - 3 ; 3)
3) x ∈ R или x ∈ ( - ∞ ; + ∞)
4) x ∈ R или x ∈ ( - ∞ ; + ∞)
5) x = 0
Похожие вопросы
Предмет: Русский язык,
автор: ruslanamag18
Предмет: Математика,
автор: veter55
Предмет: Химия,
автор: raevacatya
Предмет: Физика,
автор: egor531
Предмет: История,
автор: ладьаьа