Предмет: Алгебра, автор: anjelikatolmaceva

Решите уравнение
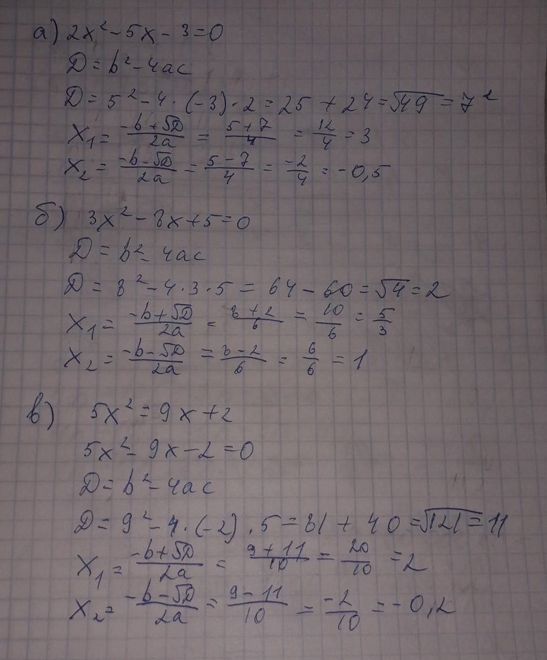
а) 2х2-5x-3=0;
6) 3х2-8х+5=0;
в) 5х2=9x+2​

Ответы

Автор ответа: danchik000002
0

Ответ:

1) D=64+36=100

x1= -8+10/6=1/3

x2=-8-10/6= -3

2) D=49-24=25

x1=7+5/4=3

x2=7-5/4=1/2

3)D=25+24=49

x1=5+7/-4=-3

x2=5-7/-4=1/2

вот так?

Объяснение:


anjelikatolmaceva: спасибоо
danchik000002: что реально правильно я новичок в математики стараюсь помочь
anjelikatolmaceva: а не надо находить а в с
Автор ответа: votef
0

Ответ:

Ответы на вложенном фото

Приложения:

anjelikatolmaceva: спасибо
anjelikatolmaceva: а там не надо находить а в с?
votef: зачем?
Похожие вопросы
Предмет: Математика, автор: Yanagrexova
Предмет: Алгебра, автор: fathd