Предмет: Математика,
автор: 57862327685
Хелп прошуу!!!!!!!!!!
Приложения:
Ответы
Автор ответа:
0
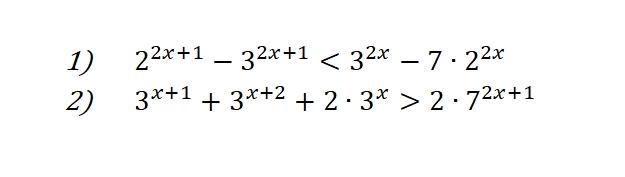
Ответ:
1)2*2+1-3*3+1=15
3*3-7*2*2=-15
2)3+1+3+2+2*3=33
2*7*7+1=110
Похожие вопросы
Предмет: Математика,
автор: Аноним
Предмет: Математика,
автор: nabiullina19841
Предмет: Русский язык,
автор: nona2003
Предмет: Математика,
автор: Gulnaz1608
Предмет: Химия,
автор: karinalove3333