Предмет: Алгебра,
автор: gedomazo34
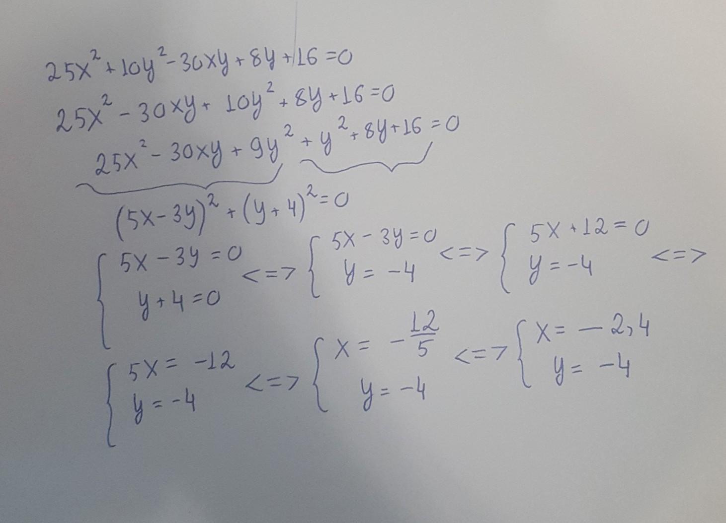
25х^2+10у^2-30ху+8у+16=0
Решить уравнение.
Только без производных, корней и другого.
Я знаю, что это почти невозможно, но это уравнение присутствует в учебнике 7 класса...
Ответы
Автор ответа:
4
Объяснение:
Решение на фоторафии.....
Ничего невозможного нет.
Приложения:
gedomazo34:
гениально
Похожие вопросы
Предмет: Английский язык,
автор: Semenova2015
Предмет: Математика,
автор: djniki2004
Предмет: Другие предметы,
автор: aligro2005
Предмет: Алгебра,
автор: 01АполлинариЯ01
Предмет: Математика,
автор: agharkova2014