Предмет: Математика,
автор: 0oAnnao0
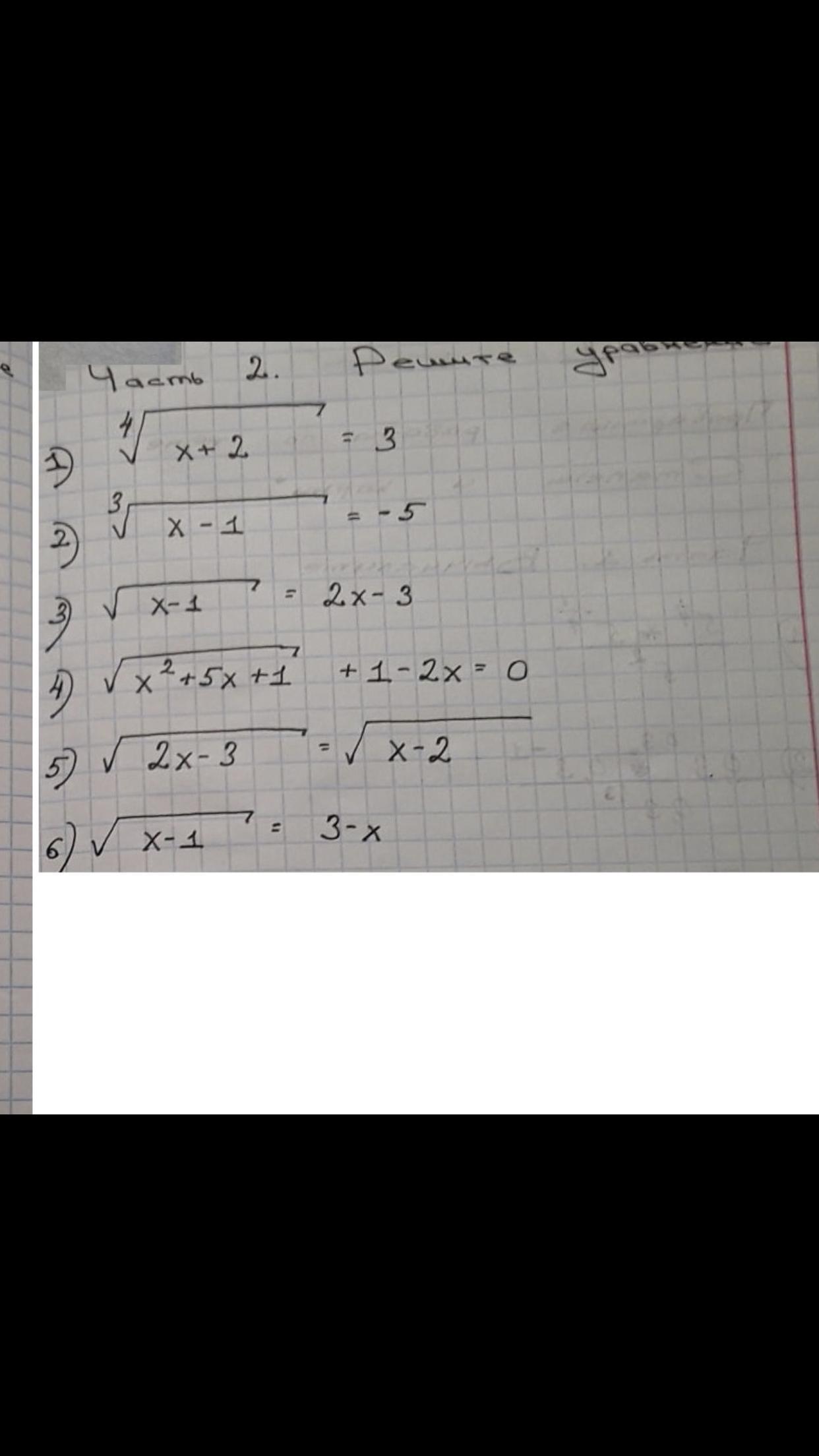
Помогите пожалуйста , если не сложно ,то можно на листочке :’(
Приложения:
Ответы
Автор ответа:
1
Ответ:
Пошаговое объяснение:
Приложения:
0oAnnao0:
Спасибо большое !!!
Похожие вопросы
Предмет: Русский язык,
автор: laventev
Предмет: Английский язык,
автор: DJOne1
Предмет: Математика,
автор: Nineli
Предмет: Экономика,
автор: 310807кот1
Предмет: География,
автор: Unicorn1703