Предмет: Алгебра,
автор: cuntwintears
Срочно
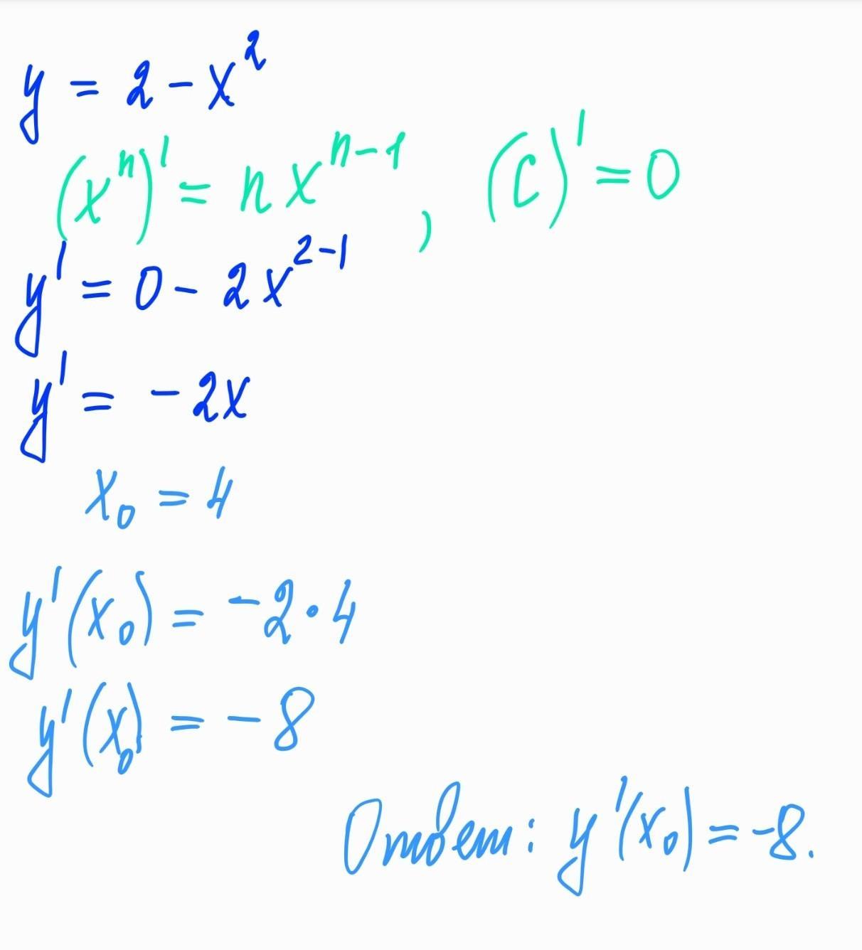
найдите значение производной в точке х0: у=2-x², x0=4
Ответы
Автор ответа:
2
Ответ:
-8
Объяснение:
на фото в приложении
Приложения:
Похожие вопросы
Предмет: Русский язык,
автор: пушинка550
Предмет: Литература,
автор: 888vlad88814
Предмет: Алгебра,
автор: про1Никитос1сто
Предмет: Химия,
автор: пес3внлл