Предмет: Алгебра, автор: dfdryftdt

ПОЖАЛУЙСТА РЕШИТЕ ВСЕГО 1 ПРИМЕР!!

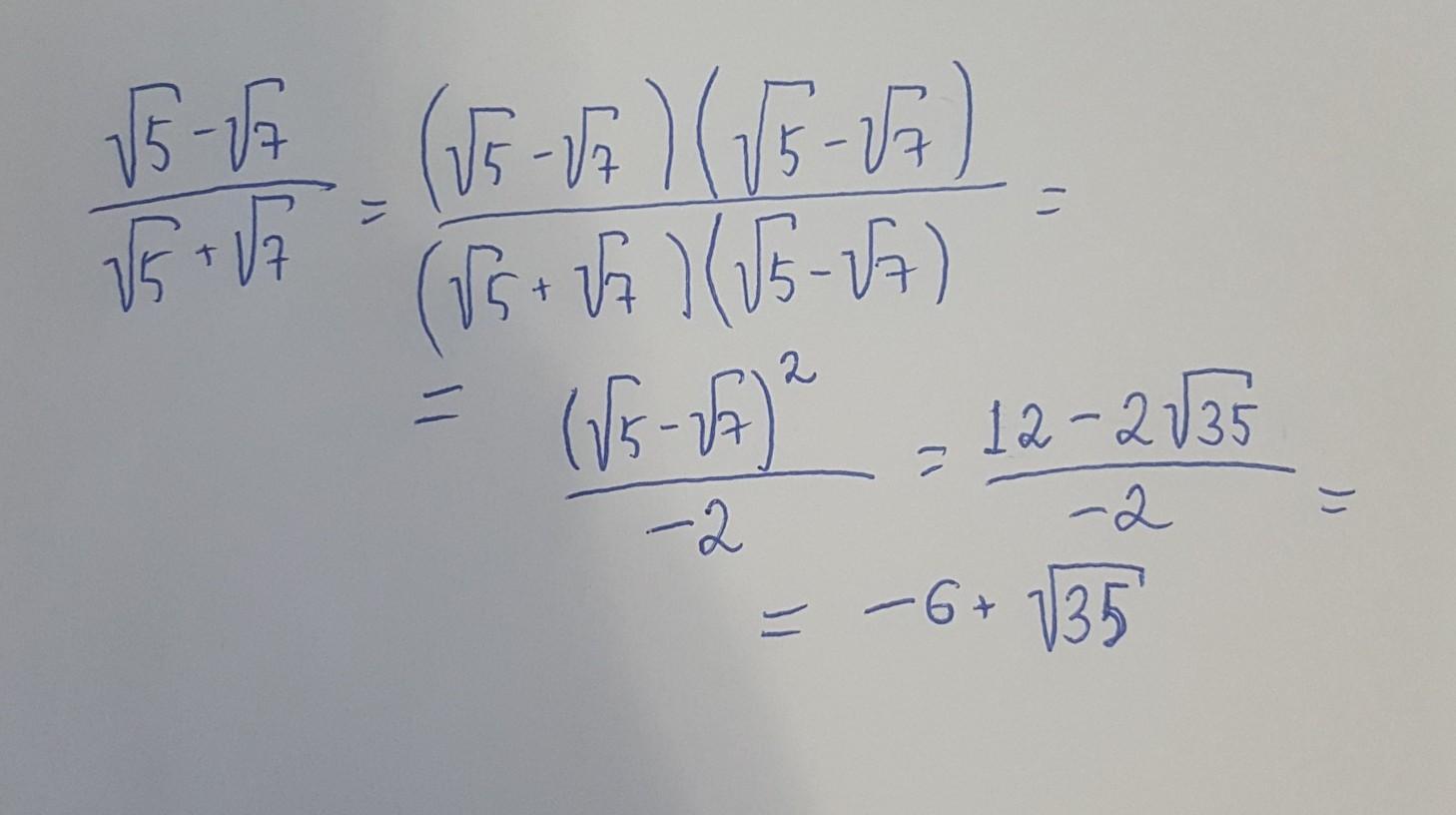
Освободитесь от иррациональности в знаменателе дроби:

Пожалуйста решение подробно!

Приложения:

Ответы

Автор ответа: vityamath
1

Решенре смотри на фото..........Я

Приложения:

dfdryftdt: большое спасибо!
Похожие вопросы
Предмет: Русский язык, автор: Николь30012004
Даю 50 баллов!!!
Друзья крепко проспали всю ночь. Моховая Борода первым открыл глаза. По поляне гуляли веселые солнечные лучики. Разбудило его вовсе не солнце. Разбудило его странное ощущение. Кто-то копошился в его бороде. Моховая Борода решил расчесать бороду. Моховая Борода поднял руку. Моховая Борода тут же опустил ее. Моховая Борода испуганно вздрогнул. Из бороды выпорхнула птица.
Это была крохотная серая птичка. Птичка отлетела в сторонку. Птичка уселась поблизости. Птичка уселась на ветвистом суку. Птичка стала смотреть на Моховую Бороду. (По Э. Рауду)

Задания к тексту:
1. Прочитайте текст. Озаглавьте его.
2. Пронумеруйте все предложения.
3. Разбейте текст на абзацы.
4. Подчеркните только то, без чего нельзя понять смысл рассказа, остальное заключите в скобки.
5. Найдите неоправданно часто повторяющиеся слова, замените их синонимичными местоимениями.
6. Замените однотипные простые предложения предложением с однородными сказуемыми (8-10, 13-16).
7. Образуйте сложные предложения путем слияния двух смежных предложений, повествующих об одном и том же предмете речи, вставляя нужный по смыслу союз. Расставьте запятые (4-6).
8. Перепишите получившийся текст со всеми внесенными изменениями, озаглавив его и разделив на абзацы.
Предмет: Русский язык, автор: Аноним