Предмет: Математика,
автор: kairatkyzyasyl57
помагите пожалуста умаляю
Приложения:
Ответы
Автор ответа:
1
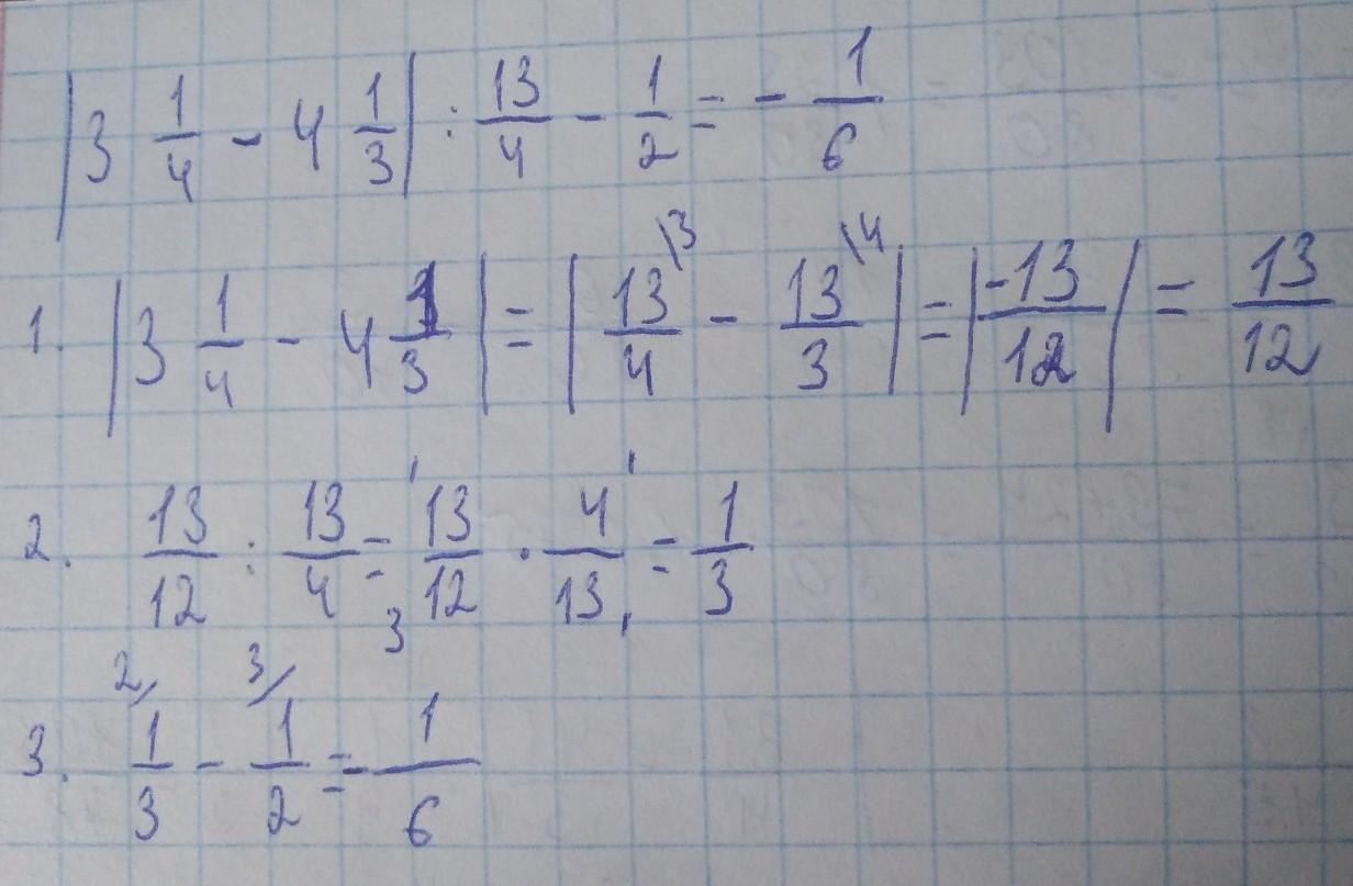
Ответ:
- 1 и 6 десятых
Пошаговое объяснение:
но не точно
kairatkyzyasyl57:
правельна
Автор ответа:
0
Ответ:
))))))))))))))))))))))
Приложения:
спс и тебе
Похожие вопросы
Предмет: Математика,
автор: Valeriashaga
Предмет: Алгебра,
автор: Gulyi
Предмет: Английский язык,
автор: маріїчка
Предмет: Алгебра,
автор: Flame22