Предмет: Алгебра, автор: nubpro32175

Пж помогите решить срочно пж по алгебре прошу заранее спасибо.
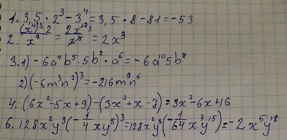
1.Найдите значение выражения 3,5*2^3-3^4
2.представьте виде степени выражения. 4)(x^4)^3*2 ДРОБЬ ЗНАМЕНАТЕЛЬ X^9
3преобразуйте выражение в одночлен стандартного вида.1)-6a^4b^5*5b^2*a^6 2) (-6m^3n^2)^3
4)представьте в виде многочлена стандартного вида выражения. 1)(6x^2-5x+9)-(3x^2+x-7).
6 Упростите выражения. 128x^2y^3*(-1/4xy^5)^3


nubpro32175: срочно

Ответы

Автор ответа: 5311allo040319
0

Ответ:

.......................

Приложения:
Похожие вопросы
Предмет: Обществознание, автор: Lilyyyyy
Чтобы получить об изучаемых явлениях или предметах необходимую информацию и открыть управляющие ими законы, необходимо представить исследуемый объект в виде особой системы. Затем такая система последовательно разбирается, разлагается на ряд подсистем различных уровней, вплоть до отдельных элементов. В ходе этого процесса накапливаются сведения об отдельных свойствах и характеристиках, частях и элементах изучаемого объекта. Однако при этом как бы теряется первоначальное представление об объекте как о чем-то целом. Для того, чтобы получить новое, на этот раз вполне конкретное, богатые, содержательно насыщенное знание об объекте, необходимо осуществить новый этап познания. Все знания объединяются, связываются по определённым правилам таким образом, чтобы они наиболее точно, верно отражали свойства, характеристики, отношения и связи между подсистемами и элементами изучаемого объекта. Когда этот процесс завершен, мы вновь получаем целостное представление об объекте.
Назовите два метода научного познания, о которых идёт речь в этом тексте.
Предмет: Алгебра, автор: erudamaxam
Предмет: Математика, автор: утка27