Предмет: Математика,
автор: uiw95241
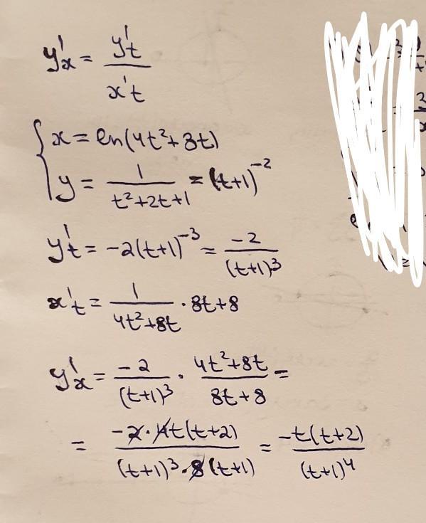
Найти производную dy/dx функции, заданной параметрически
Приложения:
Ответы
Автор ответа:
0
Ответ:
решение на фотографии
Приложения:
Похожие вопросы
Предмет: Другие предметы,
автор: nikitos0415
Предмет: Математика,
автор: Аноним
Предмет: Математика,
автор: Анютик2202
Предмет: Химия,
автор: FreeezzZzz
Предмет: Биология,
автор: Книг76525261