Предмет: Алгебра,
автор: DJMonster
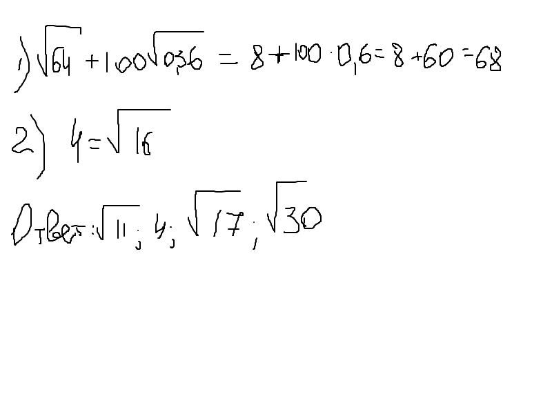
1) Вычислите √64 +100√0.362) Расположите1) Вычислите √64 +100√0.36
2) Расположите числа √17 ,4 ,√30 ,√11 в порядке возрастания
Ответы
Автор ответа:
0
Вроде так, насчет 1 - не знаю
Приложения:
Похожие вопросы
Предмет: Математика,
автор: balaban230310
Предмет: Қазақ тiлi,
автор: payne99
Предмет: Математика,
автор: BIGPRO
Предмет: История,
автор: Юлёк17