Предмет: Математика,
автор: mc825949
помогите прошу!!!!!!!!!!!!!!
Приложения:
mc825949:
Без понятия это все что есть
Может в заголовке задания об этом говорится? Ведь на картинке показан только раздел III.
неа
((
Ответы
Автор ответа:
1
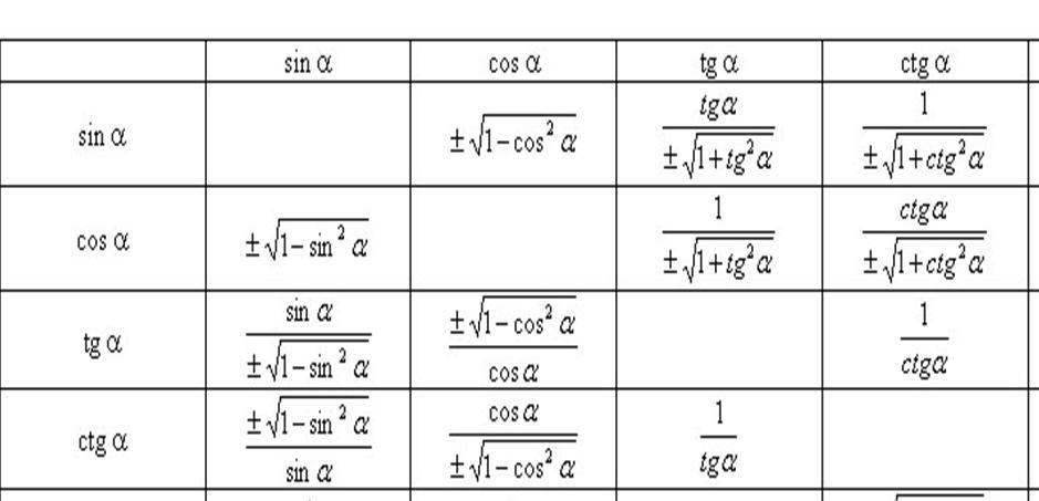
Если известно значение одной тригонометрической функции заданного угла, то по формулам можно определить другие функции.
Таблица дана во вложении.
cos α = (-12/13), 2 четверть.
sin α = √(1 - (144/169) = √(25/169) = 5/13.
tg α = (-12/13) / (5/13) = -12/5.
ctg α = 1/(-12/5) = -5/12.
Приложения:
Надо внести поправку в решение: tg α = (5/13) / (-12/13) = -5/12.
tg α = 1/(-5/12) = -12/5.
tg α = 1/(-5/12) = -12/5.
ctg α = 1/(-5/12) = -12/5.
Похожие вопросы
Предмет: Алгебра,
автор: Doдоша
Предмет: Физика,
автор: lizavershinina1
Предмет: Русский язык,
автор: Namuka
Предмет: География,
автор: dabizha89224118553
Предмет: Математика,
автор: suhanovanastya