Предмет: Алгебра,
автор: SwiftKeyFlowFlow
Помогите пожалуйста
Приложения:
shank124:
вам нужно только ответы
или с решением
решение
ок сейчас посмотрю
Ответы
Автор ответа:
1
Ответ:
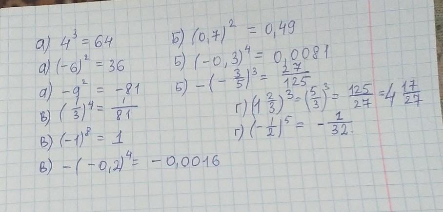
вот ответ если правильно сделайте пожалуйста (лучший ответ)
Приложения:
не обязательно возводить десятичную дробь в обыкновенную. только усложнила сама себе задачу
третья В не правильно
Автор ответа:
0
Решение и ответы представлены на фото. У меня всё верно. Жду лучший ответ)
Приложения:
Похожие вопросы
Предмет: Математика,
автор: foopght51
Предмет: Английский язык,
автор: kirill180206
Предмет: Алгебра,
автор: YanaSavenkova
Предмет: Литература,
автор: MilkisWay
Предмет: География,
автор: krisa2