Предмет: Математика,
автор: Geographist
Производная! Фото. Макс. баллы
Приложения:
Ответы
Автор ответа:
0
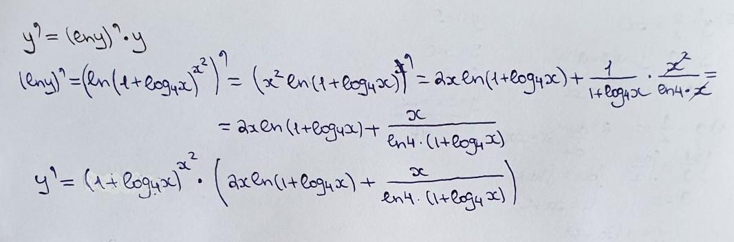
Ответ:
решение на фотографии
Приложения:
Похожие вопросы
Предмет: Алгебра,
автор: avap131
Предмет: Русский язык,
автор: aneshka2
Предмет: Физика,
автор: 4oTkii
Предмет: Математика,
автор: 2356232234234342
Предмет: Математика,
автор: авентус