Предмет: Математика,
автор: Kolosyuk2014
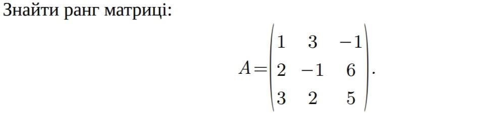
Знайти ранг матриці:
Приложения:
Ответы
Автор ответа:
0
Ответ:
Ранг = 2
Пошаговое объяснение:
Приложения:
Похожие вопросы
Предмет: Другие предметы,
автор: yujbvfruikn
Предмет: Химия,
автор: semenovamaria
Предмет: Геометрия,
автор: капаэро
Предмет: Математика,
автор: etastemirovaela
Предмет: Математика,
автор: MariRimar