Предмет: Алгебра,
автор: chirkovay2004
Пожалуйста помогите решить, вообще не понпмаю как это, боже
Приложения:
Ответы
Автор ответа:
1
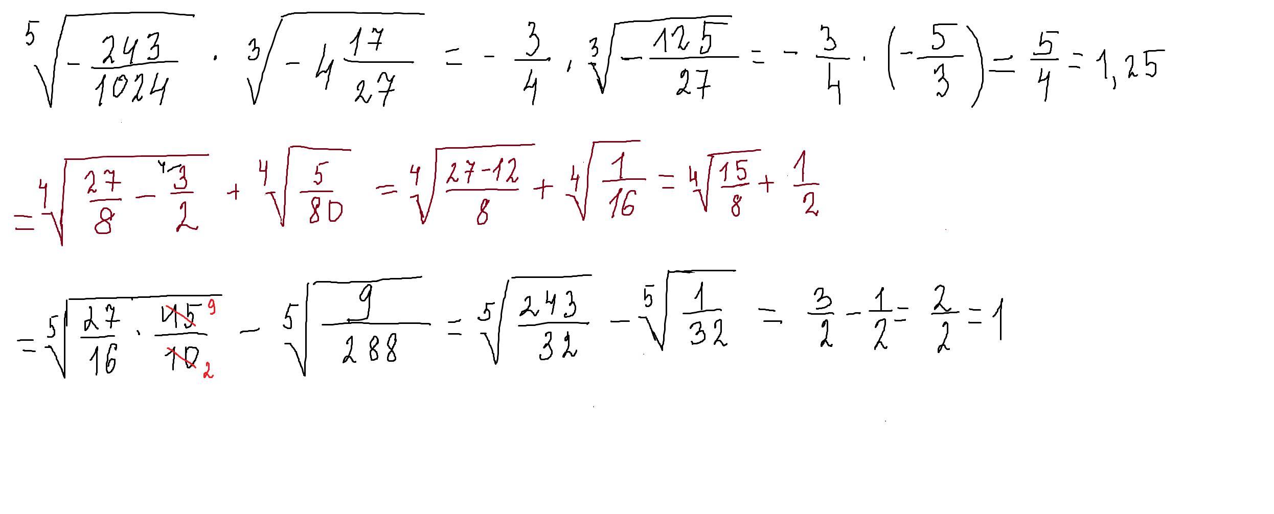
Ответ:
Объяснение:
решение внизу
Приложения:
chirkovay2004:
Спасибо большое, святой человек ❤️
Похожие вопросы
Предмет: Математика,
автор: motorinao03
Предмет: Английский язык,
автор: даун228
Предмет: Математика,
автор: elenaarci
Предмет: Математика,
автор: 3klass39