Предмет: Алгебра,
автор: thestarmoonplay
помогите пж

thestarmoonplay:
спасибо ,наверное.
Ответы
Автор ответа:
2
Ответ:
Объяснение:
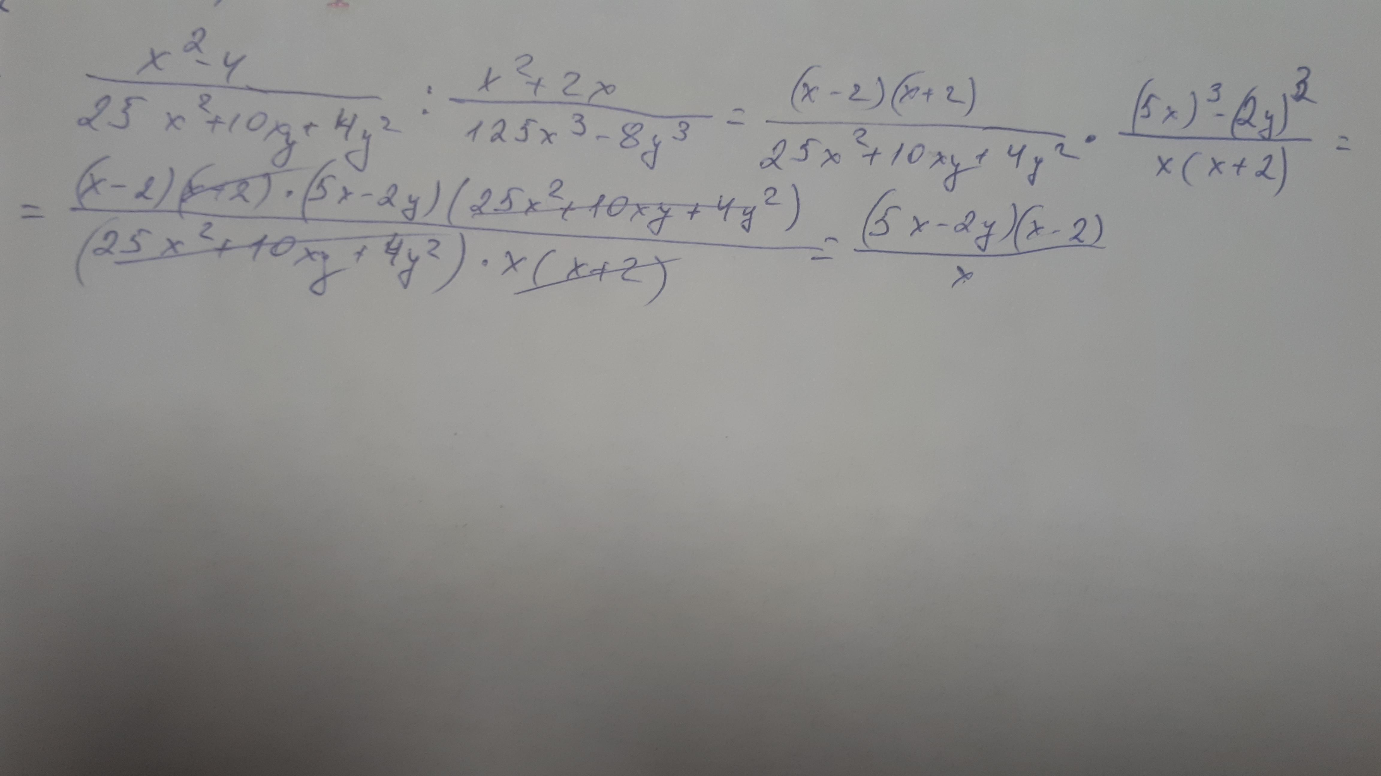
Если вместо 10х поставить 10xy, то решение на фото
Приложения:
спасибо
Похожие вопросы
Предмет: Химия,
автор: DinaIden
Предмет: Литература,
автор: andrey19991407
Предмет: Математика,
автор: dashasokolovskaya
Предмет: Математика,
автор: 078901234567
Предмет: История,
автор: ss090