Предмет: Химия,
автор: bonixw20
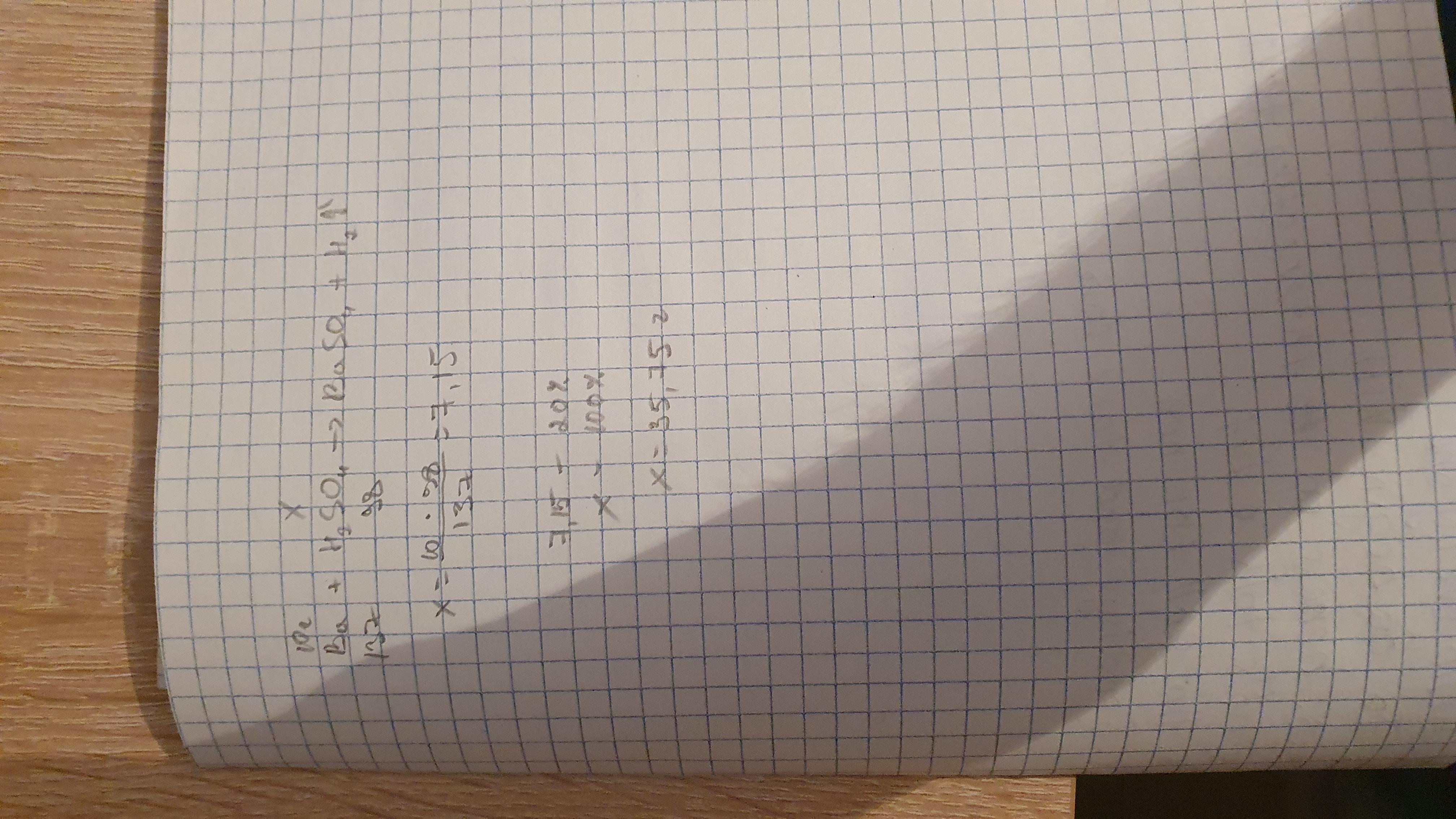
Определить массу растворенной серной кислоты с массовой долей 20% который необходим для реакции с 10г бария
alibekzhanibek4:
Ba + H2so4 = Baso4 + h2
Ответы
Автор ответа:
1
Ответ:35.75 грамм
Объяснение:
Приложения:
Похожие вопросы
Предмет: Математика,
автор: znosha03
Предмет: Алгебра,
автор: Аноним
Предмет: Другие предметы,
автор: korol63
Предмет: История,
автор: aleksasha3
Предмет: Геометрия,
автор: blackstar19