Предмет: Математика,
автор: petr164136
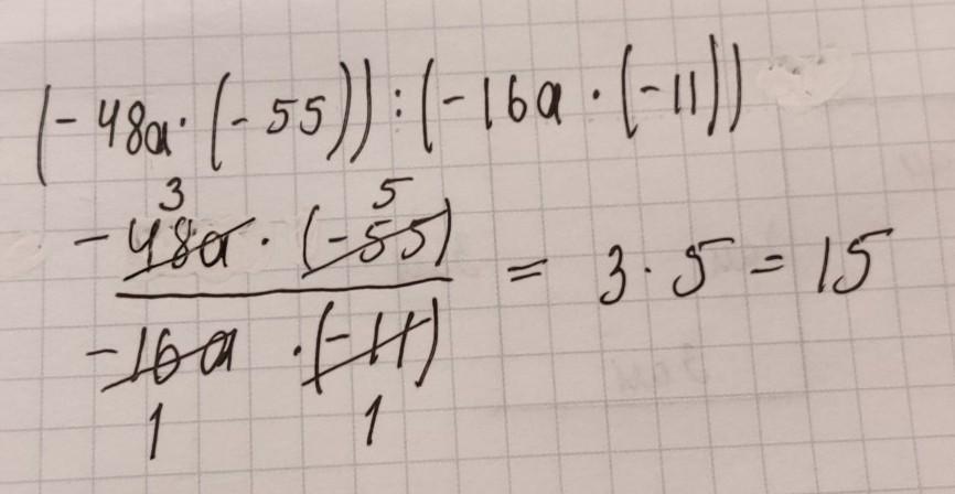
( -48а х (-55)) : ( -16а х ( -11))
Ответы
Автор ответа:
0
Ответ:
15а
Пошаговое объяснение:
( -48а х (-55)) : ( -16а х ( -11)) =
2 640а : 176а = 15а
Автор ответа:
1
Вот так я упростил ..,.,.,.,..,.,..
Приложения:
Похожие вопросы
Предмет: География,
автор: Аноним
Предмет: Математика,
автор: avtk33
Предмет: Русский язык,
автор: orion123
Предмет: Математика,
автор: лимана2