Предмет: Химия,
автор: 18evachka18
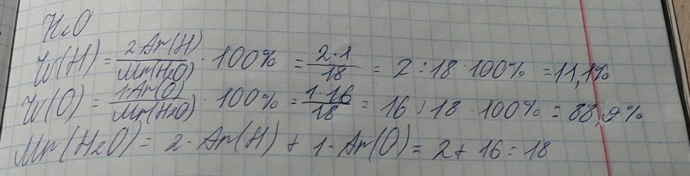
Вычислите массовые доли элементов в соединении:
H20
Ответы
Автор ответа:
1
Проходили это в прошлом году,должно быть правильно
Приложения:
Похожие вопросы
Предмет: Русский язык,
автор: vika12супер
Предмет: Биология,
автор: MrSan4ezzzгг
Предмет: Другие предметы,
автор: zhenyadaria200
Предмет: История,
автор: Saada777
Предмет: История,
автор: krivdaanastasiNastyi