Предмет: Математика,
автор: gosha7725
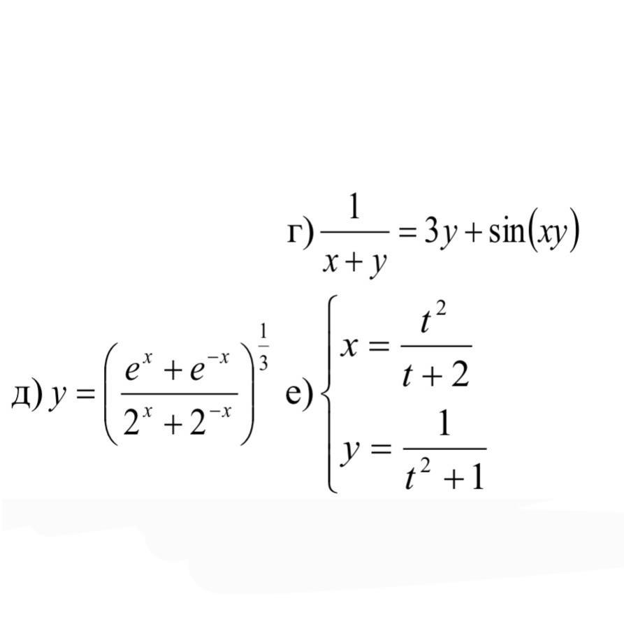
Найти произвольную функции, срочно!!!
Приложения:
Ответы
Автор ответа:
0
Ответ:
=====================================
Пошаговое объяснение:
Приложения:
Похожие вопросы
Предмет: Математика,
автор: GPB
Предмет: Литература,
автор: школьницароссии4
Предмет: Русский язык,
автор: Анжела991008
Предмет: Математика,
автор: g0886242
Предмет: Литература,
автор: vardanyanan99