Предмет: Алгебра,
автор: mahkamovadilya9
пожалуйста помогите. Только напишете в тетрадь а то я не смогу понять. Заранее спасибо. Только быстрее
Приложения:
Ответы
Автор ответа:
0
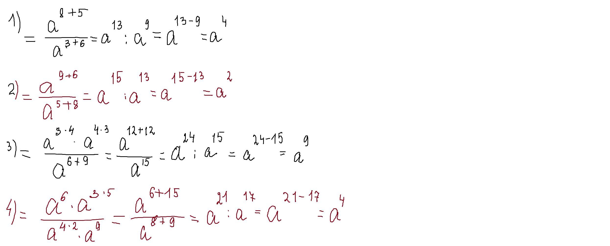
Объяснение:
писала на быструю руку, должно быть правильно
Приложения:
parus77:
надо было сделать до конца.
я зделала до конца, там два фото
Автор ответа:
0
Ответ:
Объяснение:
при умножении степеней с одинаковым основанием показатели СКЛАДЫВАЮТСЯ, при делении ВЫЧИТАЮТСЯ.,А при возведении степени в степень -УМНОЖАЮТСЯ
Решение внизу(извини,что не в тетради)
Приложения:
Похожие вопросы
Предмет: Математика,
автор: ААС11
Предмет: Биология,
автор: отася
Предмет: Математика,
автор: bukina2005
Предмет: Алгебра,
автор: ЕлизаветаТятых
Предмет: Химия,
автор: mashagromova48