Предмет: Алгебра,
автор: milenapimkycat
Срочно
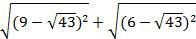
Упросите выражение
Приложения:
Ответы
Автор ответа:
0
Ответ:
Бро, дэржи) надеюсь, достаточно подробно)
Приложения:
Похожие вопросы
Предмет: Английский язык,
автор: Lenka7282
Предмет: Математика,
автор: dimabugarev
Предмет: Геометрия,
автор: ira7899
Предмет: Математика,
автор: MiniSova
Предмет: География,
автор: timaamaryan