Предмет: Физика,
автор: rabcevc
Объем данной массы идеального газа про неизменном давлении и повышении температуры.
1. Увеличивается
2. Уменьшается
3. Не меняется
Ответы
Автор ответа:
1
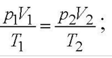
Должен выполняться закон (см фото) Р=const t2 - увеличивается(по условию) и для того чтобы сохранилось равенство нужно чтобы объём тоже рос
СООТВЕТСВЕННО ОТВЕТ 1 УВЕЛИЧИВАЕТСЯ
СООТВЕТСВЕННО ОТВЕТ 1 УВЕЛИЧИВАЕТСЯ
Приложения:
Похожие вопросы
Предмет: История,
автор: leeeons
Предмет: Русский язык,
автор: cgucvlihconc
Предмет: Математика,
автор: ForseGP
Предмет: Математика,
автор: Stephen130
Предмет: История,
автор: Иван11111111121