Предмет: Алгебра, автор: Flow8282

Вычислите 4/7 в 6 степени умножить на 1 целую 3/4 в 4 степени

Ответы

Автор ответа: Glanik34
10

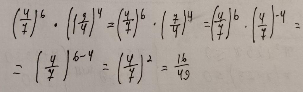
Решение на фото.,.,.,..,.,.,..,.

Приложения:
Похожие вопросы
Предмет: Химия, автор: ssraksha
1. Выполните экспериментальную проверку характера гидроксида натрия. Для этого в 2 пробирки налейте по 1 мл раствора гидроксида натрия и добавьте по несколько капель индикатора щелочной среды,например фенолфталеина.В одну пробирку долейте соляной кислоты,в другую-добавьте немного порошка гидроксида магния.Следите за изменением цвета индикатора в обеих пробирках.В какой пробирке произошло изменение цвета индикатора?О чем это свидетельствует?

2.Получите гидроксид алюминия из раствора его соли,подействовав на него небольшим количеством раствора щелочи.Полученный осадок разделите на 2 пробирки.В одну долейте раствор щелочи до полного исчезновения осадка,а в другую -соляную или другую кислоту(тоже до полного исчезновения осадка).Объясните,почему в обеих пробирках осадка не стало.

3.Налейте в 2 пробирки по 1 мл раствора серной кислоты и добавьте к ним по несколько капель индикатора кислой среды,например лакмуса.В одну из пробирок долейте раствор щелочи,а в другую-раствор другой кислоты и наблюдайте за изменениями цвета индикатора.Объясните результаты наблюдения.
Опишите результаты наблюдений,запишите уравнения проведенных реакций.
Какой характер (основной,кислотный или амфотерный) имеют исследованные вами гидроксиды?