Предмет: Математика, автор: sosnitskaimariana13

(2 3/4 -4 4/5) :7/5+ 13/28

Ответы

Автор ответа: konstantinsnastin
14

Ответ:

-1

Пошаговое объяснение:

(2 3/4 -4 4/5) :7/5+ 13/28

Сначала скобки:

2 и 3/4 - 4 и 4/5 = 2 и 15/20 - 4 и 16/20 = -2 и 1/20

-2 и 1/20 : 7/5 = -41/20 * 5/7 = -41/28 = -1 и 13/28

-1 и 13/28 + 13/28 = -1

Если моё решение оказалось верным, я бы хотел Вас попросить отметить мой ответ как лучший, а так же оставить отзыв о качестве моей работы (каким бы он ни был). Рад был оказать Вам помощь)


Sofffiia: Все правильно,спасибо большое)
syngystanatarov: спс
egorkondratev08: спасибо правильно
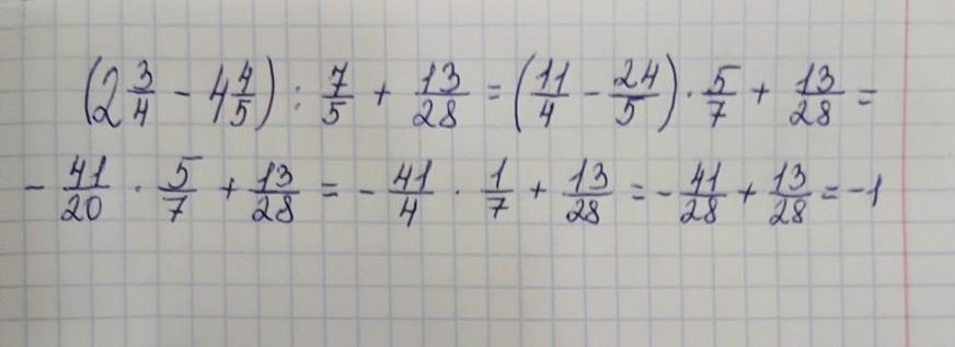
Автор ответа: karinakadyrova10
7

Ответ:

Решение полностью на фото))))

Приложения:

sosnitskaimariana13: правильно
karinakadyrova10: =)
Sofffiia: Большое спасибо,правильно)
syngystanatarov: спс
karinakadyrova10: рада помочь, обращайтесь
aikorkemnaurzbai08: спс
karinakadyrova10: не за что)))
Похожие вопросы