Предмет: Математика,
автор: Ruxen
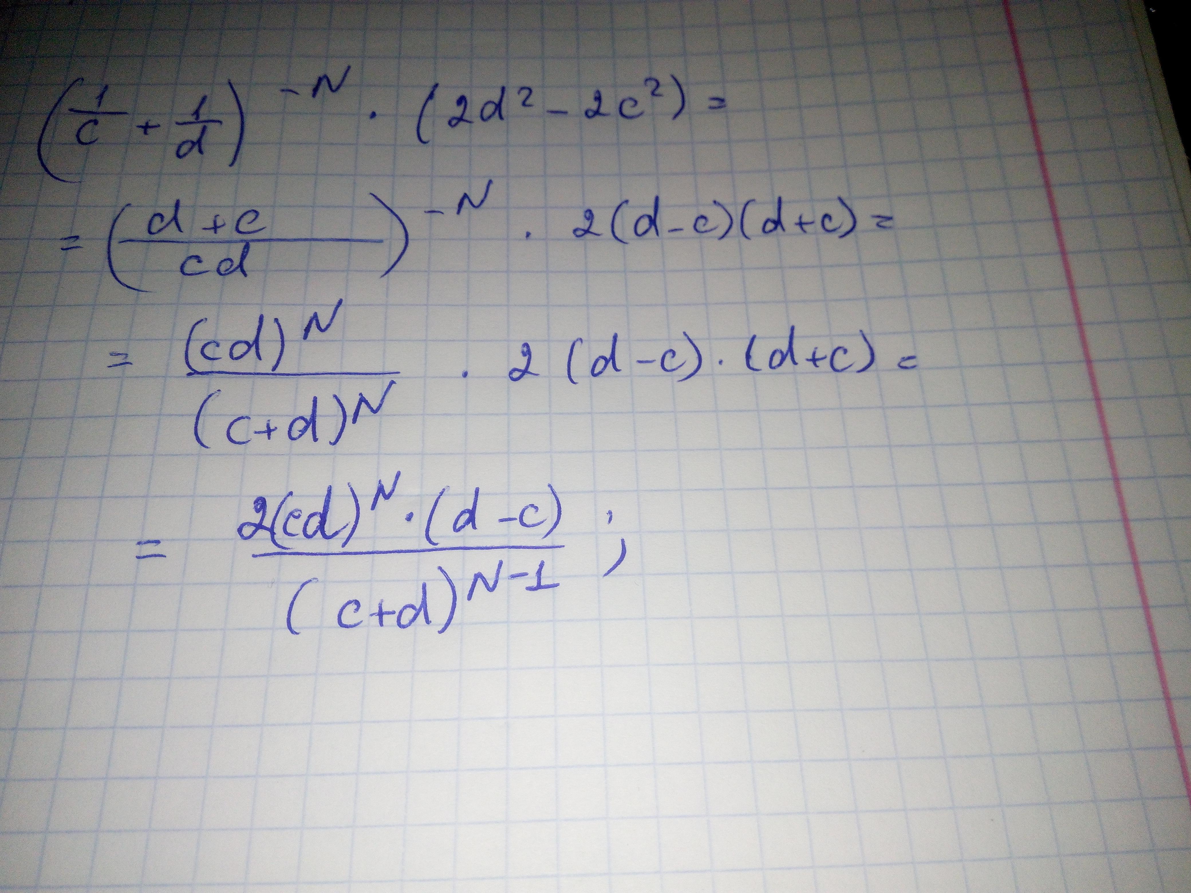
Люди, помогите упростить выражение.
Приложения:
Ответы
Автор ответа:
1
Ответ:в файле
Пошаговое объяснение:
Приложения:
Ruxen:
спасибо, большое
Похожие вопросы
Предмет: Экономика,
автор: Skinkoann
Предмет: Химия,
автор: dmirr
Предмет: Химия,
автор: Викуси4калол
Предмет: Математика,
автор: ляляля129657
Предмет: Математика,
автор: 12202020303030139