Предмет: Алгебра,
автор: infnit1
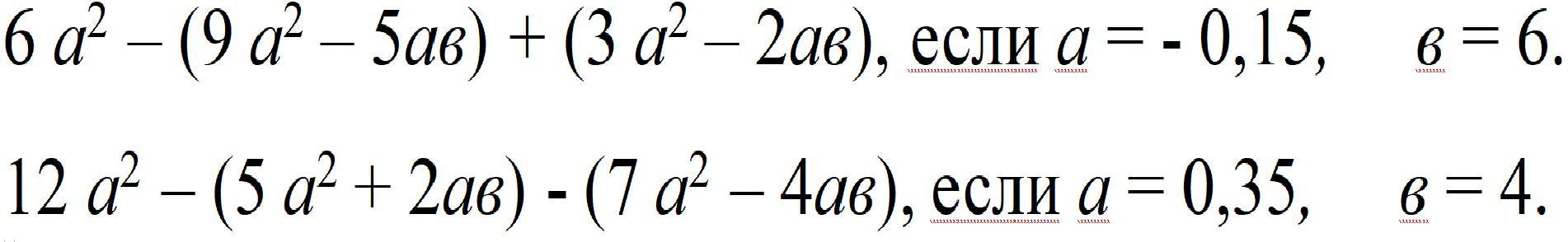
Найдите значение выражения
Приложения:
Ответы
Автор ответа:
1
6a²-9a²+5ab+3a²-2ab= 6a²-9a²+3a²+5ab-2ab=3ab
3×(-0,15)×6=-0,09×3= - 0,27
12a²-5a²-2ab-7a²+4ab= 12a²-5a²-7a²-2ab+4ab=2ab
2×0,35×4=0,07×4=0,28
Похожие вопросы
Предмет: Алгебра,
автор: Florida777
Предмет: Українська література,
автор: 12балів
Предмет: Українська мова,
автор: eduarddobr
Предмет: Математика,
автор: FXNUSн17