Предмет: Физика,
автор: ВикторияМирная
СРОЧНОООО ПРОШУУУ!!! даю 30 баллов
Приложения:
ВикторияМирная:
15*
Ответы
Автор ответа:
1
Объяснение:
691.Снег предохраняет от проникновения холода снаружи за счёт содержающегося в нем воздуха с низкой темплопроводностью
3.Теплота сгорания угля — 15 МДж/кг
Кол-во тепла — 40800 кДж=40,8 МДж
Масса= 40,8/15=2,72 кг
Ответ: 2 кг 720 г
4.Ложки получают разное количество теплоты. Это связано с тем, что удельные теплоёмкости металлов, из которых изготовлены ложки, разнятся. Алюминиевая ложка получит больше теплоты, потому что удельная теплоёмкость алюминия больше теплоёмкости серебра
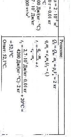
5.Дано:
V(б).=6м^3
q(б).=46*10^6 Дж/кг
q(c.)=29*10^6 Дж/кг
m(c.)-?
Решение:
Q=m(б.) * q(б.) = v(б.) * p (б.) = 710 * 6* 46 * 10^6 = 1,9596E12 Дж
Q(с) = Q(б)
Q = m(с) * q(с) = 29*10^6*q(c)
m= 1,9596E12/29000000≈67 572,4 Дж(можешь лучше перевести в МДж
Приложения:
Похожие вопросы
Предмет: Литература,
автор: fifuffyd
Предмет: Алгебра,
автор: zazhigin2000
Предмет: Русский язык,
автор: lica01
Предмет: Физика,
автор: сонечка154
Предмет: Математика,
автор: новичок535