Предмет: Алгебра,
автор: pavliksu123
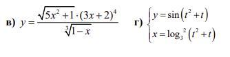
Вычислить производную функции !
Помогите, пожалуйста!!!
Приложения:
Ответы
Автор ответа:
1
Ответ:
=======================================
Объяснение:
Приложения:
Автор ответа:
0
не знаю, как автор хотел, чтобы решали его первый пример, но я логарифмировала, потому что взяв произволную напрямую получила бы выражение еще более громоздкое.
Приложения:
Похожие вопросы
Предмет: Математика,
автор: Пискуниха
Предмет: Математика,
автор: ravimakhmuto
Предмет: Математика,
автор: fly12345
Предмет: Геометрия,
автор: ляля394
Предмет: Математика,
автор: 07121978