Предмет: Алгебра,
автор: sonyakravchenko866
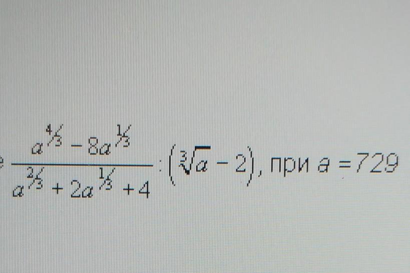
помогите срочно, пожалуйста
16 минут осталось❤️
Приложения:
Ответы
Автор ответа:
0
Ответ:
ооотвеееееееееет наверное правильно. Но не знаю что выйдет
Приложения:
sonyakravchenko866:
ответ 9
Автор ответа:
0
Ответ :9
Вот))))))))))))))
Похожие вопросы
Предмет: Литература,
автор: loseva1974
Предмет: Русский язык,
автор: berzegova88826
Предмет: Русский язык,
автор: nurislamova200
Предмет: Алгебра,
автор: W1zarD11
Предмет: География,
автор: walik0665238400