Предмет: Алгебра,
автор: jdjdjdjdjxd
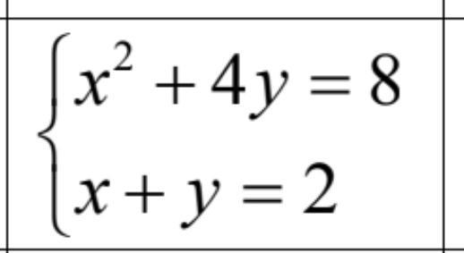
Помогите решите
Алгебра 9 класс
Приложения:
Ответы
Автор ответа:
0
Объяснение:
напиши мне в inst: shantasovaa1 отвечу полностью распишу
Приложения:
Похожие вопросы
Предмет: Математика,
автор: superulihka
Предмет: Математика,
автор: pledann20
Предмет: Другие предметы,
автор: gulperiasat
Предмет: Алгебра,
автор: alpine347
Предмет: Математика,
автор: AmandossovaAyanat