Предмет: Алгебра,
автор: kferokpro
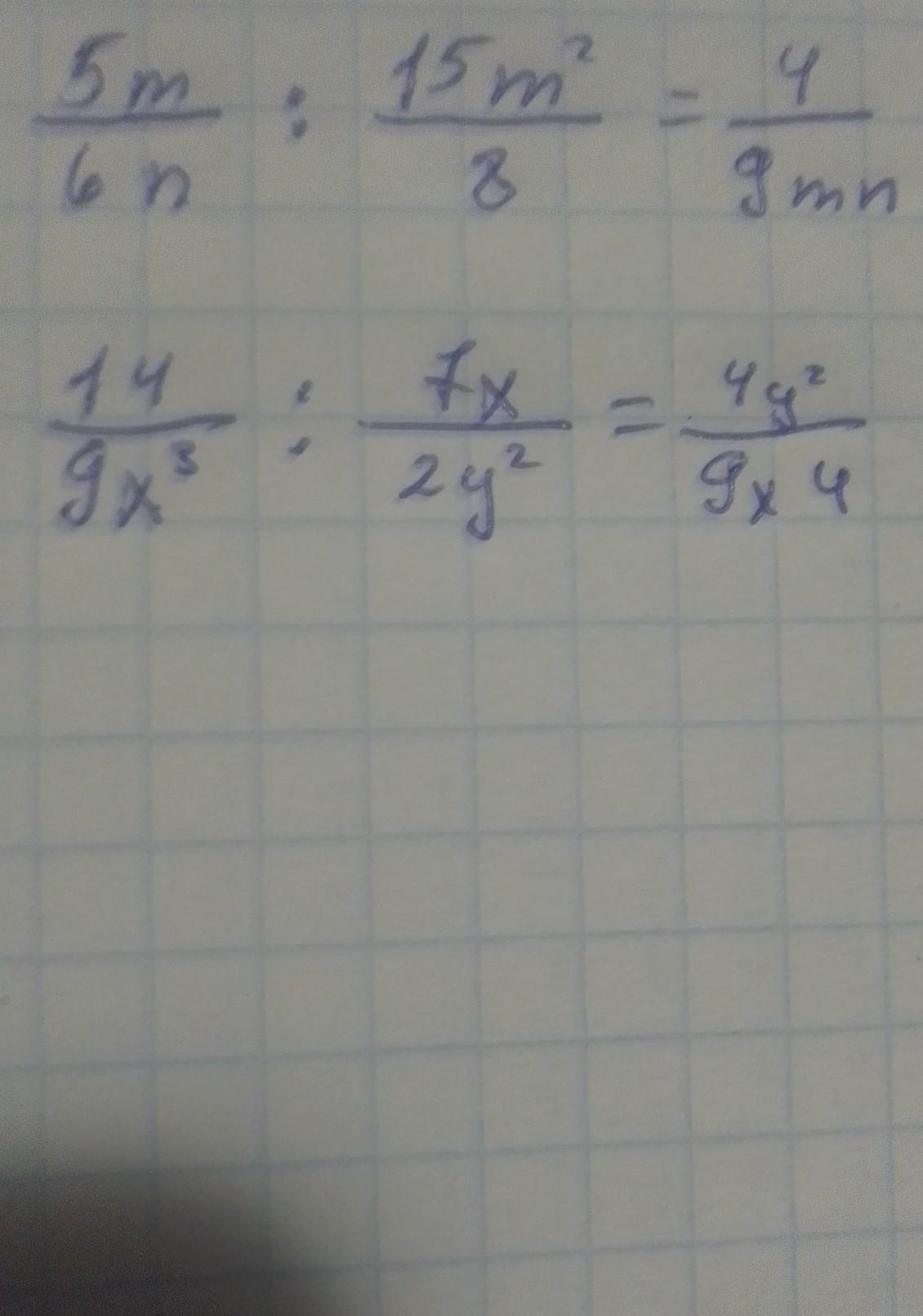
помогите пожалуйста
Приложения:
Ответы
Автор ответа:
0
Ответ:
нижние тоже надо?.......
Приложения:
Похожие вопросы
Предмет: Литература,
автор: kadaniko
Предмет: История,
автор: anargyl
Предмет: Русский язык,
автор: shiryaevaav
Предмет: Биология,
автор: Sky1001001