Предмет: Алгебра, автор: tanyastepl

Решить 1 систему методом алгебраического сложения
А 2 методом подстановки

Приложения:

Ответы

Автор ответа: lololoshkalol42
1

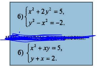
1)\left \{ {{3y^{2}=3 } \atop {y^{2}-x^{2}  =-2}} \right.       \left \{ {{y^{2} =1} \atop {x^{2} =3}} \right.

\left \{ {{y=1} \atop {x=\sqrt{3} }} \right.    \left \{ {{y=-1} \atop {x=\sqrt{3} }} \right.   \left \{ {{y=1} \atop {x=-\sqrt{3} }} \right.    \left \{ {{y=-1} \atop {x=-\sqrt{3} }} \right.     Это ответы на 1

2)\left \{ {{x^{2} +xy=5} \atop {x=2-y}} \right.       \left \{ {{4-4y+y^{2}+2y-y^{2}  =5} \atop {x=2}-y} \right.    \left \{ {{-2y=1} \atop {x=2-y}} \right.          

 \left \{ {{y=-0,5} \atop {x=2,5}} \right.      - это ответ на 2

Похожие вопросы
Предмет: Математика, автор: lerkalerka1111
Предмет: Математика, автор: Veronika22222