Предмет: Алгебра,
автор: Sumpax
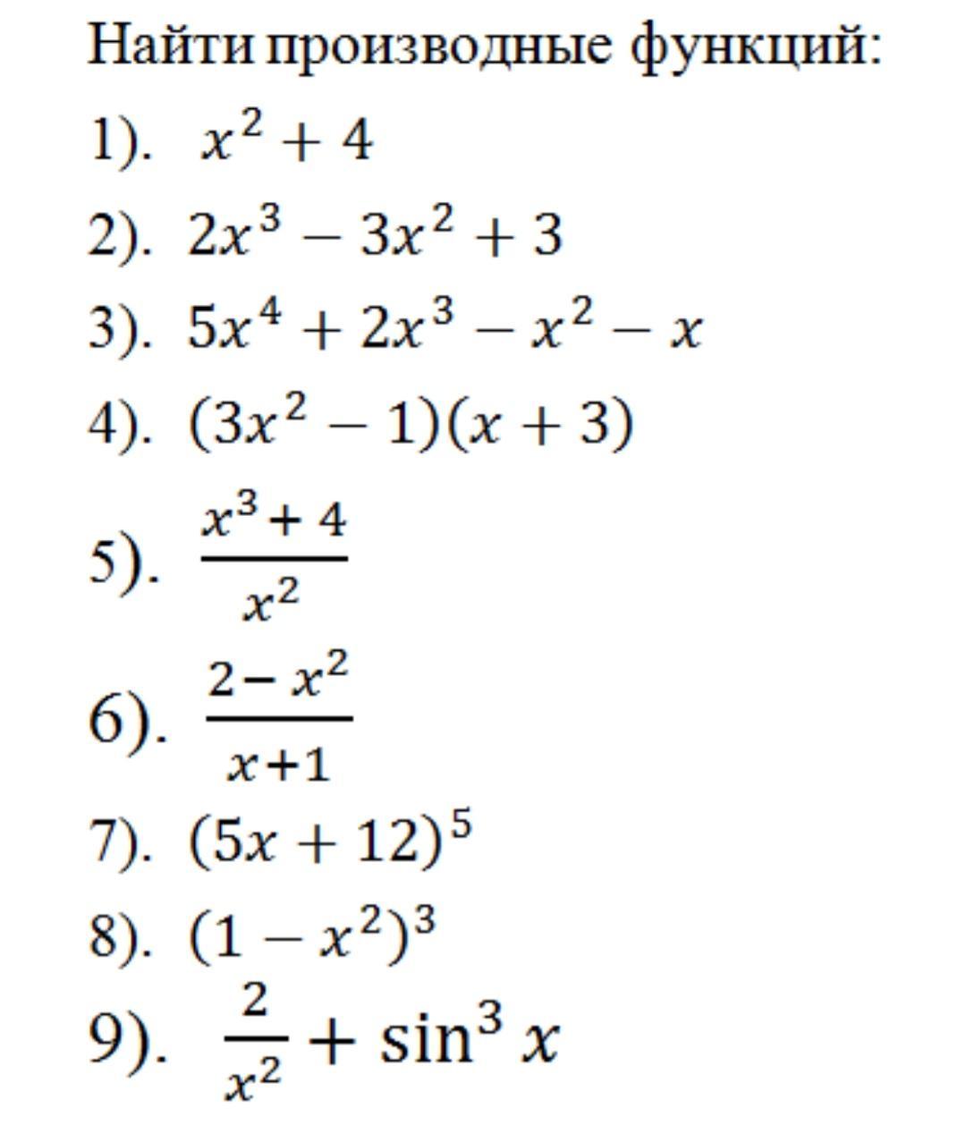
Помогите пожалуйста!!! 68баллов
Приложения:
Ответы
Автор ответа:
2
Ответ:
решение на фотографии
Приложения:
Похожие вопросы
Предмет: Математика,
автор: Рео070
Предмет: Русский язык,
автор: foboss4444
Предмет: География,
автор: мишаденисычев
Предмет: География,
автор: Танюша4444
Предмет: Алгебра,
автор: wwwtamhaeva