Предмет: Алгебра,
автор: 273Nastya73
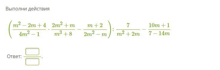
Выполни действия
помогите пожалуйста!!!!
Приложения:
Ответы
Автор ответа:
1
Ответ:
3/7
________________________
273Nastya73:
спасибо большое!!!
Не за что
Похожие вопросы
Предмет: Английский язык,
автор: nutka1980
Предмет: Математика,
автор: katenokg
Предмет: Математика,
автор: отвааь
Предмет: Математика,
автор: SDCERG
Предмет: Математика,
автор: зима19