Предмет: Алгебра,
автор: Fleurvivante
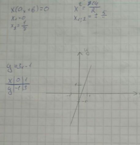
2.6. Постройте график функции, заданной формулой у = -1- 3х.
Найдите по графику:
1) значение у, соответствующее значению х, равному -3; -1; 0;
1,5; 2;
2) значение х, при котором значение уравно: -4; -2,5; -1;
3, 5; 5.
Ответы
Автор ответа:
2
Ответ:
ееееккаыврлпвашжлопацугшлт
Приложения:
serzansabiruly:
это точно правильно ?
нет, там надо по другому писать
Похожие вопросы
Предмет: Математика,
автор: angelinavlacova
Предмет: Русский язык,
автор: Katyusha060504
Предмет: Обществознание,
автор: lerasverciok
Предмет: Математика,
автор: evelying
Предмет: Математика,
автор: 777влад777879