Предмет: Математика,
автор: Čøşmøş
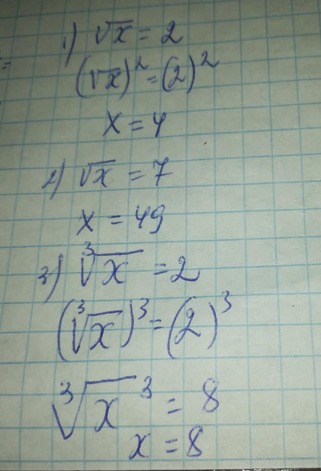
Решите простейшие иррациональные уравнения:
Приложения:
Ответы
Автор ответа:
1
Ответ:
Смотри решение на фото
Приложения:
Похожие вопросы
Предмет: Математика,
автор: ilinalud95
Предмет: Математика,
автор: jorjik1975
Предмет: Физика,
автор: milevskaya2002m
Предмет: Математика,
автор: WIF1983
Предмет: Биология,
автор: polina6890