Предмет: Математика,
автор: Аноним
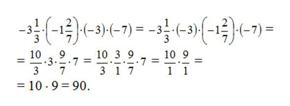
вычеслите наиболее удобным способом -3 1/3*(-1 2/7)*(-3)*(-7)
Ответы
Автор ответа:
2
См. решение на рисунке
Приложения:
Похожие вопросы
Предмет: Информатика,
автор: togi123
Предмет: История,
автор: galinaartamohin
Предмет: История,
автор: Тайнаяспутница
Предмет: Обществознание,
автор: kravczova2000