Предмет: Алгебра,
автор: Аноним
Найти седьмые члены следующих арифметических прогрессий:
а) (an): -6;-3; 0;…
б) (an): a1 = 6; d = 5;
в) an = 27 – 6n;
г) (an): a1 = -26; d = 7;
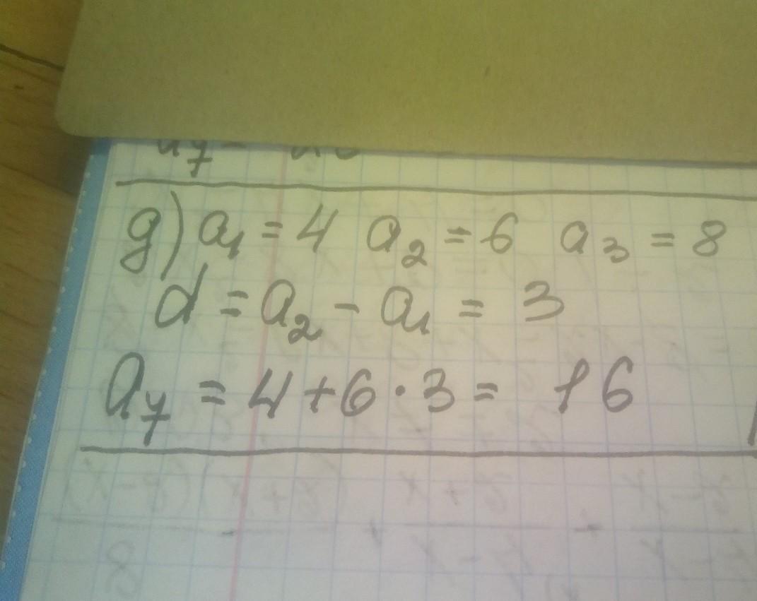
д)(an): 4; 6; 8;…
Ответы
Автор ответа:
3
Ответ:
решение на фотографии
Приложения:
grattttt:
https://znanija.com/task/40159997
manyny06
срочно
у меня времени мало
помогите решить!!!!!!!!
https://znanija.com/task/40159997
срочно
Похожие вопросы
Предмет: Биология,
автор: nagbur333
Предмет: Химия,
автор: kometos
Предмет: Русский язык,
автор: aoi73
Предмет: Физика,
автор: Darknesss1337