Предмет: Математика,
автор: Аноним
Помогите пожалуйста
Не очень нужно :((
Приложения:
Ответы
Автор ответа:
1
Ответ:
ВОООООООООООООООООТ
Пошаговое объяснение:
ВОООООООООООООТ
Приложения:
Автор ответа:
1
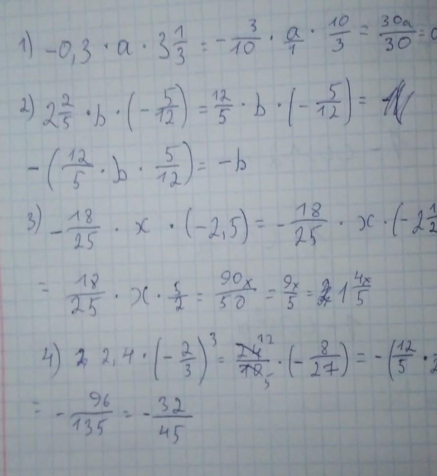
Ответ:
1) -0,3a
2) -b
3) 1.8x
4)
Похожие вопросы
Предмет: Русский язык,
автор: elmira021102
Предмет: Русский язык,
автор: rusalka140208
Предмет: Русский язык,
автор: Adelyakot
Предмет: Биология,
автор: Lazytwitter
Предмет: История,
автор: Kirill541429