Предмет: Математика,
автор: ryabinin777
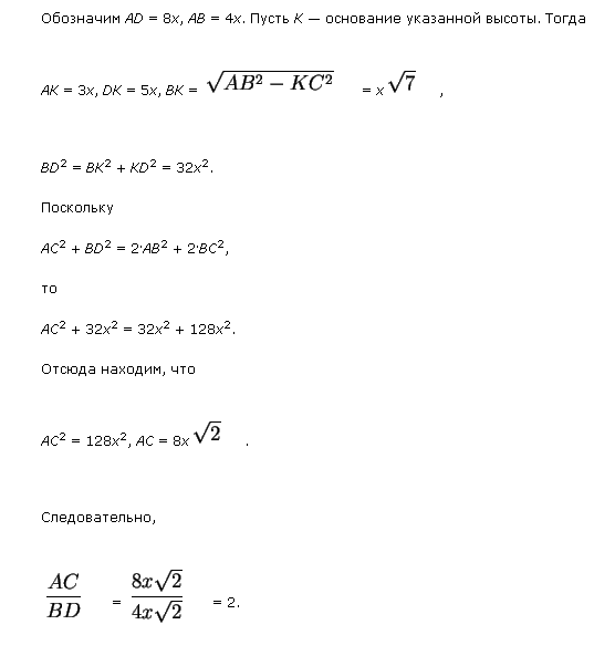
В параллелограмме ABCD проведена высота из вершины B тупого угла насторону DA. Отношение сторон параллелограмма AD:AB=4:1. Отношениедиагоналей параллелограмма AC:BD=3:1. Найти в каком отношении высотаразделила сторону DA, считая от вершины D
Ответы
Автор ответа:
0
А рисунок тебе нужен или сам, что-нибудь накалякаешь?
Приложения:
Похожие вопросы
Предмет: Английский язык,
автор: alinay452
Предмет: География,
автор: miko66699
Предмет: Физика,
автор: marinazinoveva1379
Предмет: Биология,
автор: алафандра
Предмет: Математика,
автор: Аноним