Предмет: Математика,
автор: masha72334ytg
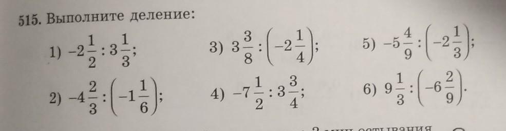
515. Выполните деление:
прошу помогите
Приложения:
Ответы
Автор ответа:
5
Ответ:
Пошаговое объяснение:
Приложения:
Автор ответа:
0
Пошаговое объяснение:
1) -3и4 дробь 2) 4 целых 3) -1целая одна вторая
Похожие вопросы
Предмет: Математика,
автор: nicedzhumagali1
Предмет: Другие предметы,
автор: muratovanatali
Предмет: Русский язык,
автор: Valyabalashova
Предмет: Математика,
автор: 0556372113