Предмет: Математика, автор: glebasologubov

Пожалуйста помогите! СРОЧНО

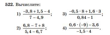
Приложения:

Ответы

Автор ответа: rexzyyy
0

Ответ:

1) -3 ; 2) -6 ; 3) -5 ; 4) 1,5.

Пошаговое объяснение:

1) \frac{-3,8+1,5-4}{7-4,9} = \frac{-6,3}{2,1} = \frac{-\frac{63}{10}}{\frac{21}{10}} = \frac{-63}{21} = -3

2) \frac{6,8-7+8}{5,4-6,7} = \frac{7,8}{-1,3} = \frac{\frac{39}{5}}{-\frac{13}{10}} = -\frac{\frac{39}{5}}{\frac{13}{10}} = -6

3) \frac{-0,5*8+1,6*3}{0,84-1} = \frac{-4+4,8}{-0,16} = \frac{0,8}{-\frac{4}{25}} = \frac{\frac{4}{5}}{-\frac{4}{25}} = -\frac{\frac{4}{5}}{\frac{4}{25}} = -5

4) \frac{0,6*(-9)-3,6}{-1,5*4} = \frac{-5,4-3,6}{-6} = \frac{-9}{-6} = \frac{3}{2} = 1\frac{1}{2} = 1,5

Похожие вопросы