Предмет: Математика,
автор: telicina1979
Выполни действия и запиши результаты в
виде конечной десятичной дроби.
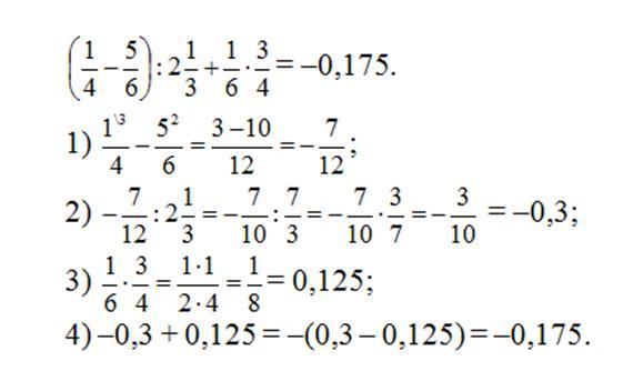
(1/4-5/6)÷2 1/3+1/6×3/4=
Ответы
Автор ответа:
1
См. решение на рисунке.
Приложения:
Похожие вопросы
Предмет: Математика,
автор: Vell558
Предмет: Алгебра,
автор: Аноним
Предмет: Биология,
автор: danilihcev
Предмет: Алгебра,
автор: АннаАхматова