Предмет: Математика,
автор: fatimamatematik
Помогите плииз через несколько минут матешааа. Номер 17
Приложения:
Ответы
Автор ответа:
1
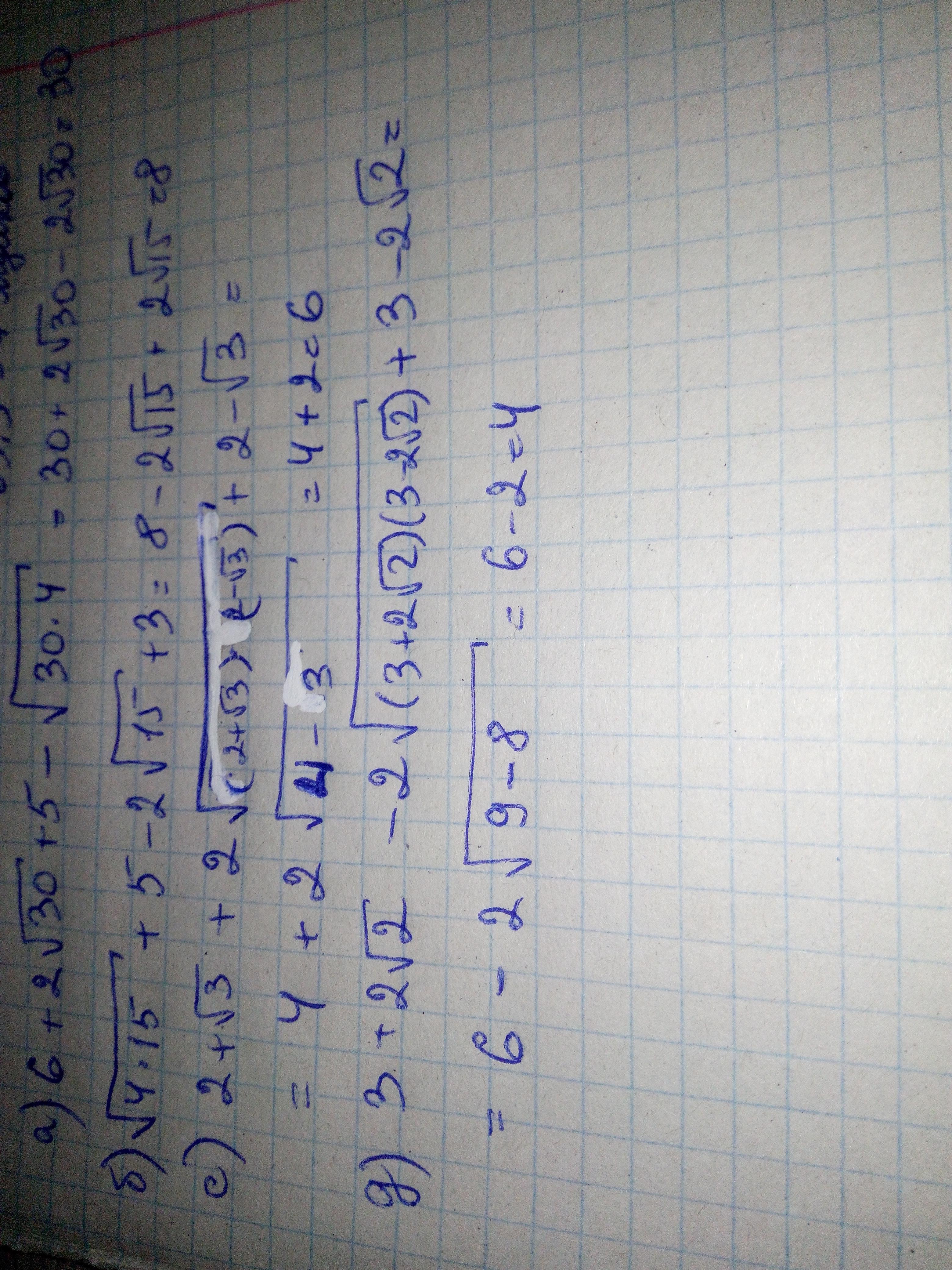
Ответ:
Пошаговое объяснение:
Приложения:
fatimamatematik:
Огромное спасибооо
Похожие вопросы
Предмет: Українська мова,
автор: 24674382
Предмет: Русский язык,
автор: vaysha2
Предмет: Русский язык,
автор: dsa2
Предмет: Алгебра,
автор: dima5810
Предмет: Математика,
автор: Аноним