Предмет: Геометрия,
автор: radikkhadyev0405
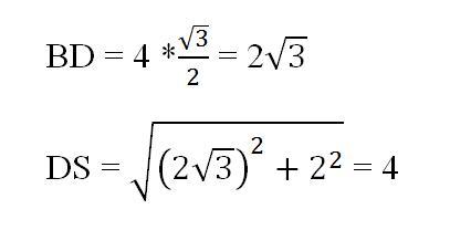
Срочно нужно в били лэнд!Прямая BS образует прямой угол со сторонами AB и ВС равностороннего треугольника ABC.
Отрезок BD - высота треугольника. Известно, что AC = 4, BS = 2!!!!. Определи длину отрезка DS.
Ответы
Автор ответа:
9
Ответ:
4
Объяснение:
Решение в фотографии
Приложения:
Похожие вопросы
Предмет: Другие предметы,
автор: KamronKamalov
Предмет: Другие предметы,
автор: evgenshamarov
Предмет: Русский язык,
автор: bling12
Предмет: Математика,
автор: DASHA2016Dasha