Предмет: Математика,
автор: kasenovaalina13
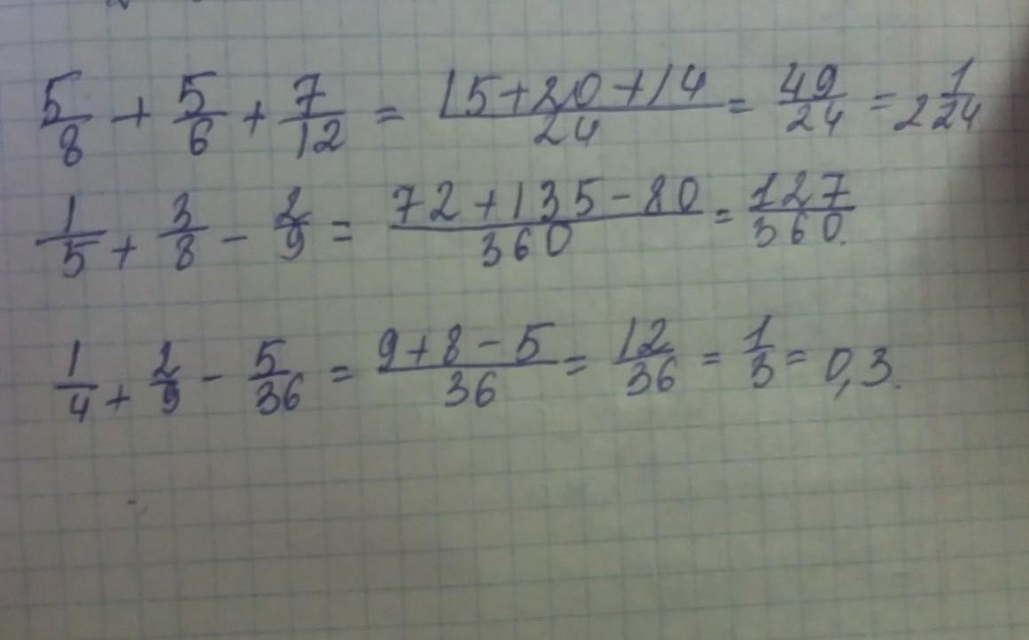
436. Найдите значения выражений:
1)5/8 +5/6+7/12
2)1/5+3/8 -2/9
3)1/4+2/9-5/36
Ответы
Автор ответа:
13
Ответ:
Не знаю правильно ли я решила 2 пример. Но остальное правильно
Приложения:
kasenovaalina13:
это правельно
Должно быть ДА
Похожие вопросы
Предмет: Химия,
автор: anyaantonova2
Предмет: Английский язык,
автор: rekalenatunegin
Предмет: Алгебра,
автор: Electronic123
Предмет: География,
автор: znaniya1402